LaTeX
Zulip supports math typesetting powered by KaTeX. Their support table is a helpful resource for checking what’s supported or how to express something.
Insert LaTeX formatting
Section titled “Insert LaTeX formatting”Zulip’s compose box has a smart math (LaTeX) () button, which inserts contextually appropriate LaTeX formatting:
- If no text is selected, the button inserts displayed LaTeX (
```math) formatting. - If selected text is on one line, the button inserts inline LaTeX (
$$) formatting. - If selected text is on multiple lines, the button inserts displayed LaTeX
(
```math) formatting.
- Open the compose box.
- (optional) Select the text you want to format.
- Click the math (LaTeX) () icon at the bottom of the compose box to insert LaTeX formatting.
- Open the compose box.
-
To use inline LaTeX, use double dollar signs (
$$) around the text:$$O(n^2)$$To use displayed LaTeX, use triple backticks and the word math (
```math) followed by some text and triple backticks at the end:```math\int_a^b f(t)\, dt = F(b) - F(a)```
Examples
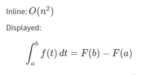
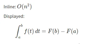
Section titled “Examples”What you type
Inline: $$O(n^2)$$
Displayed:``` math\int_a^b f(t)\, dt = F(b) - F(a)```What it looks like

Copy and paste formatted LaTeX
Section titled “Copy and paste formatted LaTeX”Copy LateX from a message in Zulip
Section titled “Copy LateX from a message in Zulip”Zulip supports quoting, forwarding, or copying math expressions, and pasting them into the compose box.
Copy LaTeX from an external website
Section titled “Copy LaTeX from an external website”You can copy LaTeX from many third-party sites that use KaTeX, and paste it into Zulip.
This feature is powered by KaTeX’s MathML annotations, which embed the original LaTeX source in the HTML for a math expression. For it to work, the website needs to:
- Generate math expressions using KaTeX in the default
htmlAndMathmloutput mode. - Allow MathML annotations to be included in HTML copied by the browser (for Zulip, this was a couple lines of CSS).